光響
  • 企業情報
    • 会社概要
    • 経営理念・ビジョン
    • 事業概要
    • 主な取扱メーカー
    • 取引先
    • アクセス
    • 保有設備
  • 製品・サービス
    • 光響オリジナル製品
    •  レーザー加工機|フェムト秒・溶接・切断・マーカー・クリーナー
    •   フェムト秒レーザー加工機
    •   レーザークリーナー(レーザー洗浄機)
    •   レーザー溶接機
    •   レーザーマーカー
    •  デジタルマイクロスコープ
    •  ビームプロファイラ
    •  レーザーセーフティ | ゴーグル・IRカードなど
    • LiDAR|ハンドヘルド型・超高点群密度・ソリッドステート・1550 nm
    • レーザー・光学製品|レーザー光源・光学部品・光学結晶・ファイバー関連など
    • LaaS|レーザー製品のサブスク・レンタル・トライアル
    • 周波数超高安定化 He-Neレーザー
    • 短納期・即納品
    • Optishop|圧倒的に低価格のレーザー光学製品サイト
    • コンサルティング・製品のご提案
    • 転職就職活動のサポート
    • レーザーセミナー|安全教育セミナー 他
    • Optivideo|月額制動画学習サービス
  • お知らせ
    • すべて
    • プレスリリース
    • 商品情報
    • パブリシティ
    • イベント
    • 社会貢献
    • その他
  • 採用情報
    • 採用情報トップ
    •  インタビュー
    •  数字で見る光響
    •  福利厚生
    • 新卒採用
    • キャリア採用
  • IR情報
  • ご注文・お問い合わせ
    • ご注文・お問い合わせ総合
    •   レーザークリーナー
    •   レーザーマーカー
    •   超短パルスレーザー|レーザキット・フェムト秒レーザー加工機など
    •   レーザー溶接機
    •   デジタルマイクロスコープ
    •   ビームプロファイラ
    •   LiDAR
    •   レーザーセーフティ
    •   レーザー・光学製品|光源・結晶・ファイバー部品 海外メーカー製品など
    •   周波数超高安定化 He-Neレーザー
    •   受託開発
    •   LaaS(トライアル・レンタル)
    •   レーザーセミナー
  • カタログ・資料
  • English
  • Search
  • Menu
  • Facebook
  • Rss
ブログ - 最近のニュース
現在位置: ホーム / chapter5_4

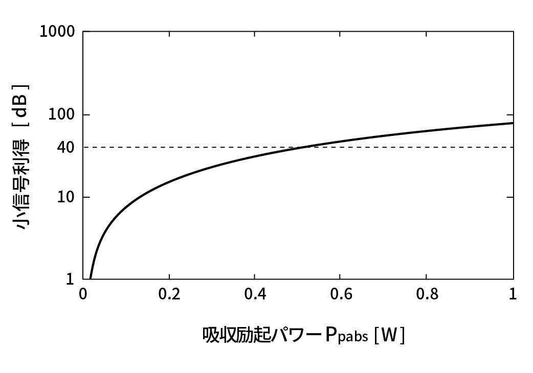
chapter5_4

2025-12-03/作成者: rinoue

Share this entry
  • Share on Facebook
  • Share on Twitter
  • Share by Mail
https://www.symphotony.com/wp-content/uploads/kokyo-logo-300x136.png 0 0 rinoue https://www.symphotony.com/wp-content/uploads/kokyo-logo-300x136.png rinoue2025-12-03 17:45:202025-12-03 17:45:20chapter5_4
事業概要
モノ
情報
人
企業情報
経営理念・ビジョン
会社概要
主な取扱メーカー
お取引先
アクセス
ニュース
お知らせ
プレスリリース
展示会情報
Youtubeチャンネル
光響公式X(旧Twitter)
Facebook
ウェブサイト利用規約
プライバシーポリシー
© 2014 Kokyo, inc.
ログイン
Scroll to top